欢迎您来到科美克润滑油官方网站!

微信公众号

全国24小时服务热线!

400 920 5357

电话

当前位置: 首页»行业解决方案»

汽车管件制造行业·弯管解决方案

来源: 科美克 浏览:5135 发布日期:2018-08-02 11:09:55

管材塑性弯曲成形是一个集材料非线性,几何非线性和边界条件非线性于一体的复杂过程,弯曲成形后容易产生回弹、外侧壁厚变薄甚至开裂、内侧壁厚增大乃至失稳起皱、横截面畸变等质量缺陷。

由于管件具有中空结构,能够满足轻量化、强韧化、低消耗等要求,因此在航空航天、船舶、化工、汽车等高技术领域得到广泛的应用。

在复杂的管路系统中,弯管是最为薄弱的部位,其成形质量直接影响整个管路的性能。

这些缺陷最终导致管材的精度不足,无法满足高技术含量行业的要求。

什么是管材塑性弯曲成形,有哪些常见材质种类

管材塑性弯曲成型是指管材在多模具协同作用和严格配合下发生塑性变形,从而获得空间任意曲线形状制品的重要加工方法。

管件常用材质分为黑色金属和有色金属:

●    黑色金属材料:钢,钢合金和不锈钢。

●    有色金属材料:铝,铜和镍等。

 

复杂管路系统

  复杂管路系统


弯管工艺及设备

弯管常用的设备有液压弯管机和数控弯管机,在汽车行业,工业化生产一般使用数控弯管机,产品精度和生产效率会更高。

 

数控弯管工艺图

数控弯管工艺图

 

数控弯管机工作视频



管件弯曲成型的常用方法

常用的弯管方法有4类,分别为:旋转拉伸弯曲压缩弯曲芯轴弯曲滚动弯曲

管件弯曲成型常用方法

 

●    旋转拉伸弯曲

使用模具和在旋转动作中工作的各种部件的组合来弯曲管材。该动作将管材向前拉,在管道中形成所需的弯曲。旋转拉伸弯曲分为有芯轴弯曲和无芯轴弯曲。

 

旋转拉伸弯曲

 

●    压缩弯曲

模具保持静止,反向模具使固定模具周围的材料弯曲。


压缩弯曲

 

●    芯轴弯曲

在这个过程中,芯轴被放置在弯曲的管子内部,特别是薄壁材料,以防止在部件的弯曲处可能发生的缺陷,例如波纹,扁平或塌陷。


芯轴弯曲

 

●    滚动弯曲

当需要大半径弯曲或曲线时使用此方法,管材穿过一系列呈金字塔排列的三个辊子。


滚动弯曲

 

管材塑性弯曲成形经历的3个阶段

管材的塑性弯曲成形是一个沿弯曲曲线逐渐变形的过程。管材在外力矩作用下弯曲,变形区外侧材料收到切向拉伸而伸长,内侧靠弯曲模部分材料收到切向压缩而缩短。随着弯曲力矩的逐渐增大,管材变形程度随之增加。

因此管材弯曲经历了弹性、弹塑性和塑性三个不同的变形阶段。

 

管材塑性弯曲成形阶段

 

●    弯曲初期,管材处于较小曲率状态,只产生弹性变形,应力沿截面成线性分布,应力与应变的关系遵循虎克定律,应力中性层和应变中性层相互重合并通过截面重心,沿管材管径以应力中性层为界,划分为拉伸变形区与压缩变形区,如上图(a)所示。

●    当管材弯曲变形程度超过材料的屈服极限后,管材外侧和内侧表面材料首先进入塑性变形,如图(b)所示。

●    随着变形程度的不断加大,塑性变形区越来越大并向中性层位置扩大,弹性区越来越小,如图(c)所示。此时应力中性层和几何中心轴不再重合,随着曲率的增大逐渐向曲率中心方向移动。

●    当外载荷增大到一定程度,管材内部各处的切向应力均大于屈服极限时,管材发生纯塑性变形,如图(d)所示。

管材塑性弯曲成形常见缺陷及预防

管材塑性弯曲卸载后,常见的质量缺陷有:

●    回弹

●    横截面畸变

●    外侧管壁减薄甚至断裂

●    内侧管壁增厚甚至起皱

在外壁不破裂、内壁不起皱的条件下,主要从以下两方面评价弯管成形的性能:

1.    弯曲变形部分局部的形状尺寸精度,主要以外壁减薄率与横截面畸变率作为评价指标。

2.    管材弯曲成形后整体的形状尺寸精度,主要以弯曲变形后回弹率作为评价指标。

回弹

回弹是由于弹性变形区材料的弹性恢复以及塑性变形区材料弹性变形部分的弹性恢复而引起的。

管材弯曲卸载后,回弹管材的实际弯曲角度θ'小于预弯曲成形角度θ。

 

回弹角△θ

回弹角

 

回弹直接影响弯管件的形状和尺寸精度,降低装配效率,并可能造成过大的残余应力,影响零件和整个结构的可靠性。

实际生产中常采用退火处理,回弹补偿等措施弥补回弹引起的弯曲角度误差。

横截面畸变

管材塑性弯曲过程中,内应力的存在会使管材圆弧处的横截面发生畸变。

 

横截面畸变.jpg

 

通常采用长轴变化率θl和短轴变化率θs表征横截面畸变程度。


畸变程度计算

畸变程度计算

 

式中D为管材原始外径,Dmax为横截面畸变后长轴的长度,Dmin为畸变短轴的长度。

 

对于有芯轴弯曲,靠近弯曲模一侧材料受到芯轴和弯曲模的共同作用,变形很小,可忽略不计。外侧材料只受到芯轴的支撑作用,畸变较为明显。

对于无芯弯管,因为内部没有任何支撑,畸变程度可能加剧。

对于横截面畸变严重的管件,进行无芯弯曲时,可将压模设计成具有反变形槽结构,以减轻弯曲时的畸变程度。

对于有芯轴弯曲,应及时检查芯轴的磨损情况,保证芯轴与管件内壁间的双边间隙不大于0.3mm,同时设置适当的芯轴伸出量。

外侧壁厚减薄,内侧壁厚增厚

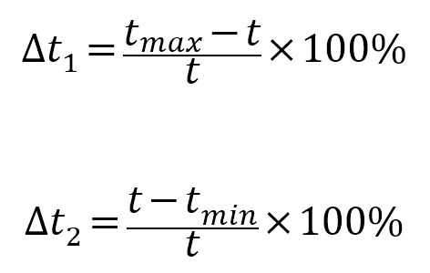
管材塑性弯曲过程中,外则材料受拉壁厚减薄,内侧材料受压壁厚增厚。

通常用壁厚减薄率△t1和增厚率△t2来检验弯管壁厚的变化:


壁厚变化计算
壁厚变化计算


其中t为管材原始壁厚

当壁厚减薄率△t1过大时,会导致最外侧管壁产生裂纹,产品达不到要求而报废。

当壁厚增厚率△t2过大时,超过了材料的压缩失稳极限而引起起皱,管件也达不到技术要求。

 

管壁的厚度变化受几何参数,材料参数和工艺参数的综合影响。通常为降低壁厚减薄率,可在管材外侧增加推力推动材料从未变形区向变形区流动,来达到减小外壁减薄率的目的。

 

壁厚变化


管材外侧拉裂

管材塑性弯曲过程中,外侧壁很容易出现裂纹或断裂,尤其是薄壁弯曲成形。

 

管材外则拉裂

 

产生外壁开裂的原因有:

●    管材的热处理不当

●    压模压力过大,管材弯曲过程中材料流动阻力太大。

●    芯轴与管材内壁的间隙过小,导致摩擦力太大。

●    芯轴伸出量过大等


为防止管材的外壁开裂,在排除热处理和材质本身的因素外,对压模压力、内壁间隙,芯轴伸出量及润滑情况等都需要进行检查。

管材内弯侧起皱

弯管起皱主要发生在内弯侧,通常分为3种情况:

1.    前切点处起皱

2.    后切点处起皱

3.    圆弧内侧全起皱

 

●    前切点起皱一般由于芯轴安装时伸长量过小,管壁在弯曲过程中得不到芯棒的支撑。

●    后切点起皱一般由于没有安装防皱模或防皱模安装位置不对。

●    全起皱的原因较为复杂,主要在于:

      ○    防皱模位置靠后或形槽尺寸过大,防皱模起不到支撑管壁的作用。

      ○    压模压力过小,管材与防皱模间隙过大。

      ○    芯轴直径尺寸过小和位置不合理等

 

为防止弯管内侧起皱,若前切点起皱,应向前调整芯棒位置;若后切点起皱,应加装防皱模,调整合理的倾角和压模压力;若全起皱,除调整压模压力外,还要检查芯轴直径,直径太小或磨损严重时需要及时更换。

我们的解决方案

在工艺参数设置合理的情况下,公司提供半流体状凝胶状态的水溶性弯管润滑剂产品,专门替代弯管过程中应用的油基型、油水分散型(乳化型)等含油润滑剂。经实践证明,可以满足汽车行业弯管的需求。


【推荐阅读】 【本文标签】: 汽车排气管,弯管,塑性弯曲成形 【责任编辑】:科美克润滑油 版权所有:锐先(上海)化学品有限公司
返回顶部