DATE
30
旋压成形的原理、分类、特点及应用
金属旋压是一种金属塑性成形工艺,该工艺能较容易的制作各种旋转对称的薄壁回转件和各种管件,因此也称为回转成型工艺。 【了解更多】
全国24小时服务热线!
管材塑性弯曲卸载后,常见的质量缺陷有:回弹、横截面畸变、外侧管壁减薄甚至断裂和内侧管壁增厚甚至起皱。根据不同的缺陷原因采取不同的措施来预防缺陷的产生。
1. 回弹
2. 横截面畸变
3. 外侧管壁减薄甚至断裂
4. 内侧管壁增厚甚至起皱
在外壁不破裂、内壁不起皱的条件下,主要从以下两方面评价弯管成形的性能:
1. 弯曲变形部分局部的形状尺寸精度,主要以外壁减薄率与横截面畸变率作为评价指标。
2. 管材弯曲成形后整体的形状尺寸精度,主要以弯曲变形后回弹率作为评价指标。
回弹是由于弹性变形区材料的弹性恢复以及塑性变形区材料弹性变形部分的弹性恢复而引起的。
管材弯曲卸载后,回弹管材的实际弯曲角度θ'小于预弯曲成形角度θ。
回弹角△θ

回弹直接影响弯管件的形状和尺寸精度,降低装配效率,并可能造成过大的残余应力,影响零件和整个结构的可靠性。
实际生产中常采用退火处理,回弹补偿等措施弥补回弹引起的弯曲角度误差。
管材塑性弯曲过程中,内应力的存在会使管材圆弧处的横截面发生畸变。

通常采用长轴变化率θl和短轴变化率θs表征横截面畸变程度。
畸变程度计算

式中D为管材原始外径,Dmax为横截面畸变后长轴的长度,Dmin为畸变短轴的长度。
对于有芯轴弯曲,靠近弯曲模一侧材料受到芯轴和弯曲模的共同作用,变形很小,可忽略不计。外侧材料只受到芯轴的支撑作用,畸变较为明显。
对于无芯弯管,因为内部没有任何支撑,畸变程度可能加剧。
对于横截面畸变严重的管件,进行无芯弯曲时,可将压模设计成具有反变形槽结构,以减轻弯曲时的畸变程度。
对于有芯轴弯曲,应及时检查芯轴的磨损情况,保证芯轴与管件内壁间的双边间隙不大于0.3mm,同时设置适当的芯轴伸出量。
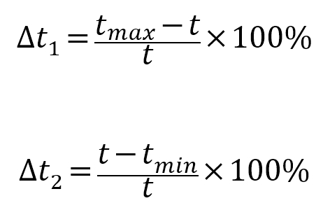
管材塑性弯曲过程中,外则材料受拉壁厚减薄,内侧材料受压壁厚增厚。
通常用壁厚减薄率△t1和增厚率△t2来检验弯管壁厚的变化:
壁厚变化计算
其中t为管材原始壁厚
当壁厚减薄率△t1过大时,会导致最外侧管壁产生裂纹,产品达不到要求而报废。
当壁厚增厚率△t2过大时,超过了材料的压缩失稳极限而引起起皱,管件也达不到技术要求。
管壁的厚度变化受几何参数,材料参数和工艺参数的综合影响。通常为降低壁厚减薄率,可在管材外侧增加推力推动材料从未变形区向变形区流动,来达到减小外壁减薄率的目的。

管材塑性弯曲过程中,外侧壁很容易出现裂纹或断裂,尤其是薄壁弯曲成形。

产生外壁开裂的原因有:
● 管材的热处理不当
● 压模压力过大,管材弯曲过程中材料流动阻力太大。
● 芯轴与管材内壁的间隙过小,导致摩擦力太大。
● 芯轴伸出量过大等
为防止管材的外壁开裂,在排除热处理和材质本身的因素外,对压模压力、内壁间隙,芯轴伸出量及润滑情况等都需要进行检查。
弯管起皱主要发生在内弯侧,通常分为3种情况:
1. 前切点处起皱
2. 后切点处起皱
3. 圆弧内侧全起皱
● 前切点起皱一般由于芯轴安装时伸长量过小,管壁在弯曲过程中得不到芯棒的支撑。
● 后切点起皱一般由于没有安装防皱模或防皱模安装位置不对。
● 全起皱的原因较为复杂,主要在于:
○ 防皱模位置靠后或形槽尺寸过大,防皱模起不到支撑管壁的作用。
○ 压模压力过小,管材与防皱模间隙过大。
○ 芯轴直径尺寸过小和位置不合理等
为防止弯管内侧起皱,若前切点起皱,应向前调整芯棒位置;若后切点起皱,应加装防皱模,调整合理的倾角和压模压力;若全起皱,除调整压模压力外,还要检查芯轴直径,直径太小或磨损严重时需要及时更换。
DATE
金属旋压是一种金属塑性成形工艺,该工艺能较容易的制作各种旋转对称的薄壁回转件和各种管件,因此也称为回转成型工艺。 【了解更多】
极压添加剂是指在高温、高压的边界润滑状态下,能与金属表面形成高熔点化学反应膜,防止接触面在高负荷下发生熔结、卡咬或刮伤的添加剂。 它的作用是其分解产物与金属反应,生成剪切应力和熔点比纯金属低的化合物,从而防止接触表面咬合和焊接熔,来保护金属表面。
实现管材弯曲的方法有多种,最常用的是管材无芯弯曲,在此基础上,还有填充弯曲、加热弯曲、数控弯曲等各种特殊弯曲方式。 每种不同的弯曲方法都有独特的工艺和条件,同时也有解决某一弯曲质量问题的功效。
在高压流体输送和机械结构中的管件,绝大数为无缝金属管,这类管材的制造工艺主要有:热轧、冷轧、拉拔和挤压等。